Methods for Survival and Duration Analysis

statsmodels.duration implements several standard methods for working with censored data. These methods are most commonly used when the data consist of durations between an origin time point and the time at which some event of interest occurred. A typical example is a medical study in which the origin is the time at which a subject is diagnosed with some condition, and the event of interest is death (or disease progression, recovery, etc.).

Currently only right-censoring is handled. Right censoring occurs when we know that an event occurred after a given time t, but we do not know the exact event time.

Survival function estimation and inference

The statsmodels.api.SurvfuncRight class can be used to estimate a survival function using data that may be right censored. SurvfuncRight implements several inference procedures including confidence intervals for survival distribution quantiles, pointwise and simultaneous confidence bands for the survival function, and plotting procedures. The duration.survdiff function provides testing procedures for comparing survival distributions.

Here we create a SurvfuncRight object using data from the flchain study, which is available through the R datasets repository. We fit the survival distribution only for the female subjects.

In [1]: import statsmodels.api as sm

In [2]: data = sm.datasets.get_rdataset("flchain", "survival").data

In [3]: df = data.loc[data.sex == "F", :]

In [4]: sf = sm.SurvfuncRight(df["futime"], df["death"])

The main features of the fitted survival distribution can be seen by calling the summary method:

In [5]: sf.summary().head()
Out[5]: 
      Surv prob  Surv prob SE  num at risk  num events
Time                                                  
0      0.999310      0.000398         4350         3.0
1      0.998851      0.000514         4347         2.0
2      0.998621      0.000563         4343         1.0
3      0.997931      0.000689         4342         3.0
4      0.997471      0.000762         4338         2.0

We can obtain point estimates and confidence intervals for quantiles of the survival distribution. Since only around 30% of the subjects died during this study, we can only estimate quantiles below the 0.3 probability point:

In [6]: sf.quantile(0.25)
Out[6]: np.int64(3995)

In [7]: sf.quantile_ci(0.25)
Out[7]: (np.int64(3776), np.int64(4166))

To plot a single survival function, call the plot method:

In [8]: sf.plot()
Out[8]: <Figure size 640x480 with 1 Axes>
_images/duration_survival_plot1.png

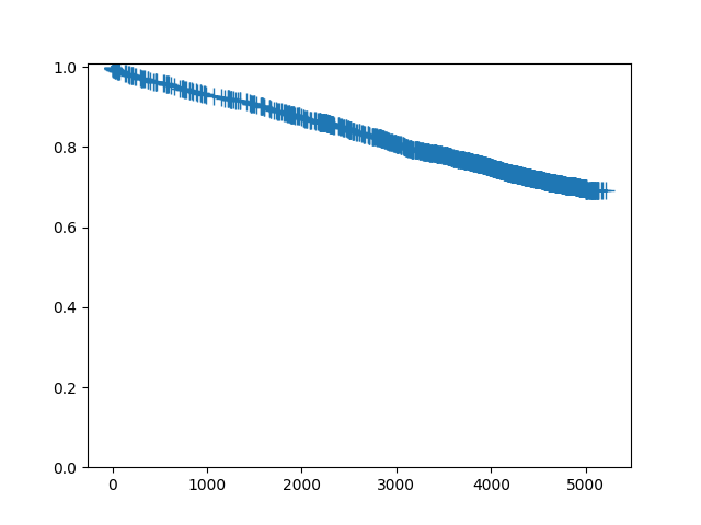
Since this is a large dataset with a lot of censoring, we may wish to not plot the censoring symbols:

In [9]: fig = sf.plot()

In [10]: ax = fig.get_axes()[0]

In [11]: pt = ax.get_lines()[1]

In [12]: pt.set_visible(False)
_images/duration_survival_nocensor_plot.png

We can also add a 95% simultaneous confidence band to the plot. Typically these bands only plotted for central part of the distribution.

In [13]: fig = sf.plot()

In [14]: lcb, ucb = sf.simultaneous_cb()

In [15]: ax = fig.get_axes()[0]

In [16]: ax.fill_between(sf.surv_times, lcb, ucb, color='lightgrey')
Out[16]: <matplotlib.collections.FillBetweenPolyCollection at 0x7fb27965d420>

In [17]: ax.set_xlim(365, 365*10)
Out[17]: (365.0, 3650.0)

In [18]: ax.set_ylim(0.7, 1)
Out[18]: (0.7, 1.0)

In [19]: ax.set_ylabel("Proportion alive")
Out[19]: Text(0, 0.5, 'Proportion alive')

In [20]: ax.set_xlabel("Days since enrollment")
Out[20]: Text(0.5, 0, 'Days since enrollment')
_images/duration_survival_95ci_plot.png

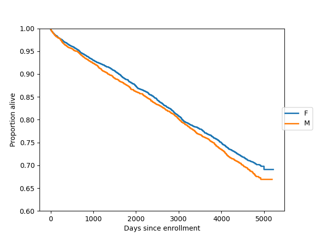
Here we plot survival functions for two groups (females and males) on the same axes:

In [21]: import matplotlib.pyplot as plt

In [22]: gb = data.groupby("sex")

In [23]: ax = plt.axes()

In [24]: sexes = []

In [25]: for g in gb:
   ....:     sexes.append(g[0])
   ....:     sf = sm.SurvfuncRight(g[1]["futime"], g[1]["death"])
   ....:     sf.plot(ax)
   ....: 

In [26]: li = ax.get_lines()

In [27]: li[1].set_visible(False)

In [28]: li[3].set_visible(False)

In [29]: plt.figlegend((li[0], li[2]), sexes, loc="center right")
Out[29]: <matplotlib.legend.Legend at 0x7fb279549600>

In [30]: plt.ylim(0.6, 1)
Out[30]: (0.6, 1.0)

In [31]: ax.set_ylabel("Proportion alive")
Out[31]: Text(0, 0.5, 'Proportion alive')

In [32]: ax.set_xlabel("Days since enrollment")
Out[32]: Text(0.5, 0, 'Days since enrollment')
_images/duration_survival_bysex_plot.png

We can formally compare two survival distributions with survdiff, which implements several standard nonparametric procedures. The default procedure is the logrank test:

In [33]: stat, pv = sm.duration.survdiff(data.futime, data.death, data.sex)

Here are some of the other testing procedures implemented by survdiff:

 # Fleming-Harrington with p=1, i.e. weight by pooled survival time
In [34]: stat, pv = sm.duration.survdiff(data.futime, data.death, data.sex, weight_type='fh', fh_p=1)

 # Gehan-Breslow, weight by number at risk
In [35]: stat, pv = sm.duration.survdiff(data.futime, data.death, data.sex, weight_type='gb')

 # Tarone-Ware, weight by the square root of the number at risk
In [36]: stat, pv = sm.duration.survdiff(data.futime, data.death, data.sex, weight_type='tw')

Regression methods

Proportional hazard regression models (“Cox models”) are a regression technique for censored data. They allow variation in the time to an event to be explained in terms of covariates, similar to what is done in a linear or generalized linear regression model. These models express the covariate effects in terms of “hazard ratios”, meaning the the hazard (instantaneous event rate) is multiplied by a given factor depending on the value of the covariates.

In [37]: import statsmodels.api as sm

In [38]: import statsmodels.formula.api as smf

In [39]: data = sm.datasets.get_rdataset("flchain", "survival").data

In [40]: del data["chapter"]

In [41]: data = data.dropna()

In [42]: data["lam"] = data["lambda"]

In [43]: data["female"] = (data["sex"] == "F").astype(int)

In [44]: data["year"] = data["sample.yr"] - min(data["sample.yr"])

In [45]: status = data["death"].values

In [46]: mod = smf.phreg("futime ~ 0 + age + female + creatinine + np.sqrt(kappa) + np.sqrt(lam) + year + mgus", data, status=status, ties="efron")

In [47]: rslt = mod.fit()

In [48]: print(rslt.summary())
                           Results: PHReg
====================================================================
Model:                      PH Reg         Sample size:         6524
Dependent variable:         futime         Num. events:         1962
Ties:                       Efron                                   
--------------------------------------------------------------------
                log HR log HR SE   HR      t    P>|t|  [0.025 0.975]
--------------------------------------------------------------------
age             0.1012    0.0025 1.1065 40.9289 0.0000 1.1012 1.1119
female         -0.2817    0.0474 0.7545 -5.9368 0.0000 0.6875 0.8280
creatinine      0.0134    0.0411 1.0135  0.3271 0.7436 0.9351 1.0985
np.sqrt(kappa)  0.4047    0.1147 1.4988  3.5288 0.0004 1.1971 1.8766
np.sqrt(lam)    0.7046    0.1117 2.0230  6.3056 0.0000 1.6251 2.5183
year            0.0477    0.0192 1.0489  2.4902 0.0128 1.0102 1.0890
mgus            0.3160    0.2532 1.3717  1.2479 0.2121 0.8350 2.2532
====================================================================
Confidence intervals are for the hazard ratios

See Examples for more detailed examples.

There are some notebook examples on the Wiki: Wiki notebooks for PHReg and Survival Analysis

References

References for Cox proportional hazards regression model:

T Therneau (1996). Extending the Cox model. Technical report.
http://www.mayo.edu/research/documents/biostat-58pdf/DOC-10027288

G Rodriguez (2005). Non-parametric estimation in survival models.
http://data.princeton.edu/pop509/NonParametricSurvival.pdf

B Gillespie (2006). Checking the assumptions in the Cox proportional
hazards model.
http://www.mwsug.org/proceedings/2006/stats/MWSUG-2006-SD08.pdf

Module Reference

The class for working with survival distributions is:

SurvfuncRight(time, status[, entry, title, ...])

Estimation and inference for a survival function.

The proportional hazards regression model class is:

PHReg(endog, exog[, status, entry, strata, ...])

Cox Proportional Hazards Regression Model

The proportional hazards regression result class is:

PHRegResults(model, params, cov_params[, ...])

Class to contain results of fitting a Cox proportional hazards survival model.

The primary helper class is:

rv_discrete_float(xk, pk)

A class representing a collection of discrete distributions.